文章原作者为@Voidshatter跑焦,本版为经兰拓科技重新编辑修改后发布,谢绝随意转载。
逆光的意义
在传统的风光摄影当中,大逆光场景一直被认为是一种“禁忌”——胶片时代的经典《纽约摄影学院教程》当中就教导我们拍照要尽量避免逆光,而胶片时代的器材党始祖及后期宗师亚当斯曾经在暗房里折腾各种化学试剂最后创造出区域曝光法,dodge & burn这两个词汇甚至被现代后期软件Photoshop沿用。人类一直在试图挑战大光比,从而有了渐变滤镜以及摇黑卡等技术手段。
但需要注意的是,胶片时代这一切的手段都是属于“不得已而为之”,即当你不得不面对大光比的时候,需要使用这些技术手段来尽量减小画质的损失。然而现在的数码时代科技进步非常快,传感器技术今非昔比。例如传感器的高感光度性能的进步,2002年佳能率先推出了135全画幅CMOS机型1Ds,配合16-35mm f2.8 L大光圈超广镜头即可以拍摄到银河,拍摄到胶片时代难以企及的银河风光。而现今的数码相机传感器的宽容度(动态范围)进步亦非常巨大,配合各种数码前后期技术,可以拍摄到胶片时代难以企及的大逆光风光。何况知难而上本身就是一种属于器材党的乐趣——如果无法冒险去拍摄冰山熔岩、没有人脉去拍摄名星名媛、没有机缘去拍摄恐怖袭击与战地战事,那就去拍摄与众不同的视角,比如比别人高、比别人低、比别人广、比别人长、比别人暗、比别人亮!或许对于大多数上班族和业余摄影爱好者来说,做到这些远远要比去发掘什么“决定性瞬间”要容易得多。
还记得第一次看到Thierry Cohen的《无灯城市》系列作品里壮美银河景象时所感受的震撼吗?先驱之所以成为了大师是因为他能及前人所不能及。而且用器材去刷新自己拍摄题材所能及的极限并不丢人——老祖宗怎么说的来着?君子生非异也,善假于物也。
逆光图之所以充满魅力,不仅是因为其视觉冲击带来的浪漫,亦在于其拍摄难度大,对前后期技术的依赖都很高,对器材也有一定的要求(镜头逆光抗眩光、摄影附件、传感器宽容度等)。人不是习惯动物,要战出逆态度颠覆世俗,成功不只是《纽约摄影》顺光拍摄一种配方,只有迎难而上才能突破平凡突破框框!大胆的将太阳装进构图,敢于与众不同去追求挑战太阳的逆态度!
张杰《逆态度》
对于长曝光而言,Michael Kenna很好的诠释了慢门的魅力:相机可以做到beyond the human eye。按照胡思哲的话来说:“摄影作品是把三维空间记录到二维平面的艺术,而长曝光这一技术手段则能把第四维时间也凝固为永恒。我试图截取时间的一小段,可发现这也不过是时光千年的一小叹。”
拍摄大光比场景的常规技术手段及其缺陷
1、渐变滤镜
优点:直出即可获得需要较少后期的照片,渐变的过渡自然,亦较符合人眼视觉特性,可一定程度上避免其它手段导致的重口HDR失真。
缺点:地形限制巨大,会误伤形状不规则的前景,后期提亮被滤镜误伤的前景会需要依赖传感器宽容度。滤镜会导致逆光抗眩光能力降低,光线的光路略微变化,增加画面边缘色散,降低画面边缘分辨率。渐变滤镜的偏色会影响色彩在整个画面里的准确性与一致性,如果前期没有使用漫射白板拍摄平场文件,后期很难修正。
2、摇黑卡
优点:可以更加灵活的按照摄影师的意图控制画面各个局部的曝光来实现主体的突出和视线的引导。
缺点:仅限于长曝光,难以掌控,也容易误伤形状不规则的前景。如果是超长曝光,操作起来也会很累。若对曝光一致性有严格要求(比如科研用途),后期极难修复。
3、前景补光
优点:反光板给人像补光是逆光人像的常见拍摄手法,可以避免太阳直射眼睛导致的表情僵硬或者过硬的光线导致的面部光影突兀。使用照明设备给前景补光也是风光摄影的手法之一,例如拍摄银河时可以使用手电照亮前景。
缺点:人造光源的色温不易与环境色温相符,容易导致被补光的前景突兀。受功率限制,较远较大的主体补光难度较大。
4、包围曝光
优点:天空与前景的信噪比与色阶精度均能够达到接近器材极限的水准。
缺点:明度蒙版(Luminosity Mask)合成时过渡区域若处理不慎则容易出现边缘假亮。高像素机身拍摄的多次曝光,图层叠加时若不能完美对齐,过渡区域的锐度会受到损伤。不适合长曝光(尤其是需要暗场降噪的超长曝光),易导致光线与色温关系错误。后期工程量大,对后期水平要求高。
以下示例包围曝光的局限性:
机位为伦敦塔桥拍摄泰晤士河试图长曝光日落阶段,包围曝光为先摘掉渐变滤镜与ND1000滤镜对建筑物正确曝光(10秒),然后装上渐变滤镜与ND1000滤镜对天空进行长曝光(8分钟)。


由于两层滤镜的厚玻璃与空气的折射率不同的缘故,广角镜头的视角在装拆滤镜的前后有轻微的视角变化,这在高像素机身或数码后背上表现为画面边缘有一两个像素无法完美对齐的症状,如果对齐了画面的一侧,那么画面的另一侧就无法对齐,Photoshop的自动图层对齐功能以及专业软件Helicon Focus等均无法完美对齐,如果做自由变换也无法在有限的后期时间内做到处处完美对齐,因为这种装拆滤镜导致的呼吸效应并非简单线性视角改变。这种误差对高分辨率镜头的锐度损伤非常严重,尤其是对于城市风光而言,使用明度蒙版处理过渡区域的时候经常会遇到硬朗的轮廓(例如避雷针、起重机等),而对于常规风光而言如果有风中摇曳的树枝背后恰好是天空,相信各位有包围曝光熔图数毛经验的朋友也不难理解后期的难度。



新时代大光比拍摄手法
目前缺点最少灵活性最高的大光比拍摄手段:强吃传感器宽容度+多帧叠加降噪
优点:不受地形限制,可以应对任何复杂形状的前景以及任何位置的高光分布,得到的光线分布与色温符合真实,过渡自然,后期处理简便,天空与前景的信噪比均能够超越常规水准突破器材极限,能提供极大的后期可用空间。
缺点:堆栈仅适合长曝光,需要宽容度较好的传感器。有额外的快门数负担、存储空间负担、稳定系统要求、电脑内存配置要求以及CPU运算时间。取决于相机特性,暗部色阶精度可能并不理想。
这里给出一个例子,演示“强吃传感器宽容度+多帧叠加降噪”的拍摄手法。
拍摄例子选取了英国伦敦的大本钟,这个机位是一个经典的日落风光场景,由于日落阶段太阳高度会低于最高的建筑物,所以传统方法里的渐变滤镜会误伤建筑物导致建筑物部分偏黑,摇黑卡会很难操作(很难确保不误伤建筑物),而由于建筑物距离机位很远,前景补光也不可行,对于长曝光来说,包围曝光拍摄前景素材的步骤不论是在日落前进行还是在日落后进行,均会取得与日落阶段不一致的色温与光影关系,后期很容易合成出来失真的图。而接下来要演示的拍摄方法则是非常的简单,没有以上这些顾虑。
首先是给镜头装上一片十档中灰减光滤镜(ND1000/ND 3.0),无需任何渐变滤镜,使用相机的最低原生ISO(此例为100 ISO),使用大致f8-f11的光圈,设置曝光时间大致为8-10秒,以相机的最快高速连拍速度拍摄RAW格式的文件(JPG是不行的),大约连拍几十张(此例里每一张的曝光时间固定为8秒),尽可能覆盖整个日落的最佳黄金光线阶段!每两张照片之间的间隔越短越好(此例为0.2秒,因为相机的高速连拍是5fps),高速连拍的过程中一定要尽可能减少机身的震动,比如使用LiveView避免反光板的升降,使用电子前帘快门减少机震,使用快门线或者使用机身内的延时摄影功能避免手接触相机(例如尼康机身内置间隔拍摄功能)。

这样拍摄到的图,是严重欠曝的图,比剪影还黑,这对于传统器材以及传统拍摄手法来说就是拍了几十张废片,然而借助于现代数码后期技术以及现代传感器的优秀宽容度,这种“向左曝光”的拍摄手法却能够保留尽可能多的高光细节,且依然能取得很高的暗部信噪比!使用Raw Digger检查RAW文件(不是必备步骤)可以发现太阳附近的高光细节被保留下来,尽可能的控制了高光溢出。

将这几十张图同时选中,拖拽进入Photoshop,会自动弹出ACR(AdobeCamera Raw)界面解RAW。点击左上角的“选择全部”选中所有RAW文件即可进行批量操作。这时候建议顺便对镜头进行色散矫正和暗角矫正、统一所有RAW的白平衡。

接下来的一步则是关键了:从RAW文件里尽可能多的恢复出来阴影细节与高光细节!不同的场景可能需要略微不同的前期曝光参数与后期调整参数,但是总体思路是一致的,就是采用如下这种“高光-100、阴影+100”的暴力方法!

批量调节好直方图之后,就可以点击右下角的“打开照片”进入Photoshop了。取决于相机的像素以及电脑的配置,批量解几十张RAW会需要一定的时间,所有照片都在Photoshop里打开后,点击“文件”菜单,选择“脚本”,点击“统计”。(注意这个功能需要完整版/扩展版的Photoshop才有。)

需要注意的是这步操作需要将所有RAW文件以无压缩的方式载入内存,对电脑内存容量的要求极高,32GB也是分分钟吃干净。有条件的同学可以买X99平台,插上8根16GB的DDR4内存,基本可以在1亿像素机型普及之前高枕无忧。
点击“添加已打开的文件”,选择“平均值”,点击确定。(如果不是脚架在风中不稳、脚架在淤泥里逐渐下沉、相机被扰动、或者甚至是手持拍摄的一类的特殊情况,这里不建议勾选“自动对齐”,因为Photoshop的自动对齐经常不准。)接下来就是交给电脑进行运算了。运算完毕之后,会发现几十张照片(每张8秒曝光)被叠加为了一张几分钟长曝光效果的照片!
而这里面最大的收获是提升了照片的信噪比——具体效果可以参见照片里的暗部100%细节,单张照片的阴影是有很多噪点的,而几十张照片叠加后的阴影则几乎不可见噪点了!这实际上就是利用了多帧降噪的原理,随机的噪音被多次曝光给匀掉了。这在天文摄影里是非常普遍的手法,可以取得更高的信噪比以及更高的宽容度。

而这张超高信噪比的照片则是提供了极大的后期空间(色阶、曲线、对比度、饱和度、明度蒙版、各种插件),可以支持进行各种重手操作也很难出现噪点。接下来的后期就很简单了,不需要去操心如何修复被渐变滤镜误伤的建筑、渐变滤镜导致的上下色彩不一致、图层对不齐、色温不一致等问题了!

当然,一张照片如果只有中间调,却没有足够的对比度,也会显得过于平淡,这就要求在稳住黑场白场的时候做好取舍与平衡。后期的目的是为了尽可能的从数码数据里还原出当时人眼所见的光影,而并非无脑的去追求没有死黑没有死白。这种向左曝光配合堆栈的拍摄方法,是为了获得超越常规拍摄方法所能达到的后期空间。一张照片的高光分布会成为对观众的视线引导,如何将一张照片后期出来理想效果的最终成品还得看摄影师的个人美术功底。
以上即是“强吃传感器宽容度+堆栈多帧降噪”的大光比逆光拍摄手法,涵盖了各个关键操作步骤,希望能提供一个思路抛砖引玉,帮助大家压榨自己手里器材的极限宽容度,取得更好的画质。
死理性派时间:为什么均值叠加可以降噪(提升宽容度)?我应该叠加多少张照片才合适?
小学生版解释:随机的噪声被多次曝光叠加给匀掉了。
中学生版解释:噪声的本质是一种偶然误差,可以通过多次测量取平均值来消减。
当然,这两个解释都太年轻,太单纯,有时太天真。下面是大学生版解释,涉及概率论与数理统计的一些知识,相信有相关基础的人能够看懂。
首先有个先决条件就是我们可以近似认为图像属于线性系统输出,满足叠加原理——也就是说我们把原始的无噪理想图像和具有噪声的平场(Flat Field)部分单独进行处理后叠加并不会改变整个图像的特性,接下来的步骤当中我们即如是进行分析。
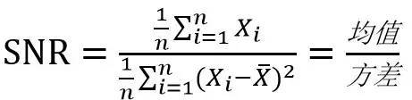
理想无噪图像部分好理解,平场可以认为是一张中性灰的底图和所有图像噪声的叠加。对于中性灰图像来说,我们采用以下方式定义该图像的信噪比:
设图片的平场分量有n个像素,每个像素的亮度为Xi,则图片的平场信噪比:

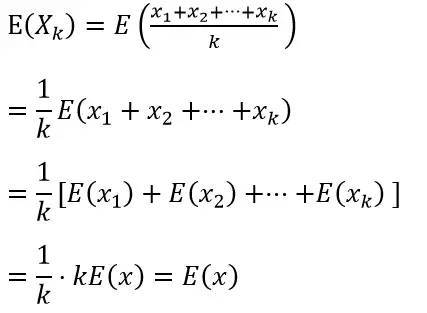
假设我们拍摄k张图做平均值叠加,由于参与叠加的原始图片来自于同一台相机,而且拍摄时间相距很近,所以可以认为这k次拍摄相当于同一个样本空间中的多次抽样。
由于理想无噪图像分量的每一张都完全相同,所以在均值叠加前后不会发生变化。对于平场分量来说每一个样本都与总体同分布(即有着相同的噪声强度分布特征(实际上对于理想传感器而言都是正态分布)),那么对于分子上的平均值,我们有:

结论:均值叠加前后图像的平场平均值不变。
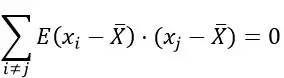
下面来看平场噪声(方差):
我们有方差的计算式:

所以:

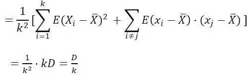
对于理想传感器而言我们有:

也就是说没有来自于传感器的噪声(系统误差,一般表现为色块、彩条等具有某品牌“特色”的成像特征)。此时:

即:
不采用对数标度的情况下,叠加k张照片得到的信噪比/宽容度为单张图像的k倍。
当然在上面的推导过程当中我们也有一个显而易见的结论:均值叠加只能针对完全的随机噪声,对于来自传感器的底噪是不好用的。
针对这种拍摄方式,我应该如何选择器材?
接下来的内容是器材相关,不喜欢过度强调器材重要性的朋友可以选择跳过。不过个人认为了解掌握器材的特性是有助于提高出片率的。事实上随着科学技术的进步,摄影师的拍摄手法也在不断的进化。以上的这种“阴影+100”的暴力后期方式其实很考验传感器的宽容度,也就是暗部的信噪比。暗部信噪比高的传感器,RAW文件能够提供更多的后期空间,也就是宽容度更好。

对于传感器宽容度的定量分析,dxomark早就有做过,我司的评测当中宽容度也是画质测试的重点项目之一;只是众多摄影师对其嗤之以鼻,认为其冷冰冰的数据并不能与摄影师的照片内容所发掘的真善美有任何相关性,或者认为dxomark的测试结果是暴力粉尼康和索尼、暴力黑佳能,甚至有不少朋友认为D810在dxomark的宽容度跑分超越了飞思中画幅CCD数码后背非常荒谬。事实上笔者耗费了很多的心力折腾了一圈的数码后背器材走了很多弯路,才发现自己的测试结果和dxomark的数据是相符的。dxomark将宽容度(Dynamic Range)分数又称作风光(Landscape)分数,其实也印证了dxomark的看法亦是:对于风光摄影而言,画质是受限于宽容度的。
关于中画幅数码后背在大家心中所奠定的地位其实不难理解。2007年佳能的1Ds Mark III与尼康的D3均采用了当代科技领先水平的135全画幅CMOS,但是飞思推出了中画幅CCD数码后背P45+,凭借着传感器尺寸接近645画幅的大底优势,P45+的宽容度(动态范围)领先于佳能与尼康的旗舰,并且P45+能独步天下的胜任长达一小时的长曝光且热噪极少。

然而这个暗流涌动的2007年,注定不是一个寻常的年份。

2007年2月,索尼在CX-NEWS公布了【内置列并行模数转换器(ADC)的超高速高画质CMOS】技术,随后的2007年8月,索尼发布首款Exmor CMOS,APS-C画幅约1247万像素的IMX021,这也是A700、D300等一大批机器的CMOS。
从架构图当中我们很容易看到内置ADC的图像传感器需要传输模拟信号的部分(黄色箭头)仅仅在像素结构之内,到了片上之后走的全是数字信号(蓝色箭头)——这对于信号通路的抗干扰能力来说是一个巨大的提升,很容易理解,数字信号在读取的时候只需要能够区分出高低电平(0和1)就可以,对于噪声干扰的容忍能力相当高。而模拟信号传输过程当中任何的噪声混入都会严重影响接收端的信号质量——大家想一想老式的天线模拟电视和新时代的高清数字电视之间的画质差距,便可对此稍有概念。对于图像传感器来说,经过放大器增益之后的输入信号强度越弱(暗部),两种架构的画质差异就会越发变得明显。
由于初代内置ADC的CMOS画质表现其实比较一般,相对于传统架构的佳能传感器而言并没有显著优势,可能很多人都忽略了这一实际上有着划时代意义的新技术。包括兰拓君在内,当时还是读初中的小P孩, 看了这条新闻之后反应其实只有——

然而ADC五杀超神拯救世界的时代终究还是到来了。
然而ADC五杀超神拯救世界的时代终究还是到来了。
然而ADC五杀超神拯救世界的时代终究还是到来了。
重要的事情说三遍,不怕你说我粉索。
经过了五年的韬光养晦默默发育,2012年索尼发布了传奇级别的IMX094传感器,这款3600万像素的135全画幅CMOS被用于尼康D800、D800E、D810、索尼A7R中,在宽容度方面全面领先中画幅CCD和佳能的135全画幅CMOS,笔者认为这是一款划时代的传感器,因为根据笔者的实测,这款传感器的宽容度和高感光性能均明显领先645画幅的中画幅CCD和传统架构的CMOS,例如8000万像素的Dalsa CCD(飞思IQ280、飞思IQ180、丽图Credo 80等)、6000万像素的Dalsa CCD(飞思IQ260、飞思IQ160、哈苏H5D-60、丽图 Credo 60等)、以及佳能EOS 5D Mark III。而这个结论与dxomark的测试数据也是相符的。

索尼在这一点上简直像极了三星:
当初的三星自己搞Exynos SoC,被众人耻笑不如高通,是辣鸡;
当初的三星自己搞AMOLED,被众人耻笑偏色烧屏大果粒;
当初的三星自己搞多种材料的手机外壳,被众人耻笑金属材料塑料质感;
然后2015年S6 Edge搭配着Exynos7420惊艳亮相,毫无争议。
简直没有比这再励志的故事,比猴米之流高到不知道哪里去了。
说回正题,以下为笔者亲自拍摄的D800E+24mm f1.4G与IQ250/IQ260+40HR的严重欠曝对比(RAW文件下载地址:http://pan.baidu.com/s/1c0AJku0),可以看到D800E的阴影信噪比惊人的高,远远的超越了IQ260(所以更是比IQ280强),与IQ250是同级别的水准!

这篇文章的原版成文较早(在2014年末),当时1亿像素的飞思IQ3 100MP还连影都没有,唯一的内置ADC中画幅传感器是一块645残幅(44×33mm),所以很多人都会认为在宽容度方面依然底大即是正义——但实际上并非如此。在135全幅和残幅圈内同样存在这种情况,D7200的宽容度跑分笑傲江湖,除了自家全幅的D810(还得用ISO64)之外,来一个杀一个,来两个杀一双,只是APS-C却有如此功力,简直恐怖不已:

考虑到APS-C系统的超广角镜头和对应的滤镜价格都相对低廉,用D7200搭一套风光摄影配置其实也是预算受限情况下一个很不错的选择。
实际上索尼的传感器从APS-C的D7000到135画幅的D800,再到中画幅的IQ250,均为时代领先水平。2010年D7000的宽容度胜过了更大画幅的D3X,两年后D7000进化为D800,D800的宽容度胜过了更大画幅的IQ180,又过了两年D800进化为IQ250。有专家指出以上这几款索尼传感器只是像素密度相似,并非完全相同的技术,不过有一点很明显,索尼现在的研发策略和电脑的显卡类似,都是先在小底上试水最新的黑科技,试水成功了才给更大的底去研发,这就导致了在整个tick-tock研发周期内,有大量时间是小底“以下犯上”的阶段。D7200这块传感器如果存在全幅版本(约5400万像素)的话,画质斩杀645画幅的IMX161都是有可能的。但随着现在索尼的传感器研发方向全面倒向以速度和视频拍摄能力制胜,真有点担心IMX094会变成画质时代的绝唱。
那么就实战而言,索尼这块IMX094传感器究竟有多强的潜能呢?笔者对其进行了极端压力测试,使用单次超长曝光拍摄带前景的太阳轨迹!


这是一张曝光时间超过两小时的照片,记录下了太阳的轨迹,单张RAW,非堆栈,无任何素材叠加,当时的电池续航不支持长曝降噪,后期也没有做dark frame subtraction降噪。D800E的IMX094传感器热噪控制非常优秀,两个多小时下来也能保持超高可用宽容度,相比之下D4S的瑞萨传感器才长曝了45分钟,热噪就已经无法直视。
拍摄使用的滤镜是 B+W 77mm ND1000、Lee Big Stopper、Lee 0.6 硬边 GND,高光减光效果共计四百万倍(22档)。
玩了一圈器材,最后得出的结论是,如果拍大光比场景,(截至2014年底)最好的传感器是IMX094(D800/E/810、A7R)和IMX128(RX1/R、D600/610、A99、A7、D750?、A7ii?),以及索尼的中画幅CMOS(H5D-50C、CFV-50C、H5D-200CMS、IQ250、IQ150、Credo 50、645Z),阴影恢复能力极强,长曝本底噪点控制极佳,属于业界内无敌的状态。滤镜、摇黑卡、包围曝光、前景补光等手段都有各自的局限性,终归是比不上强吃单张RAW宽容度无脑强拉阴影。
至于佳能的传感器,自2008年以来就一直落后于索尼的传感器,最为戏剧性的是旗舰全幅机身的宽容度竟然敌不过卡片机——佳能目前宽容度最强的相机竟然是唯一一台疑似使用了索尼传感器的机器!不少用户质疑dxomark的数据缺乏公正性,然而事实上还有不少第三方网站也反映出佳能传感器在宽容度上的落后:
http://home.comcast.net/~NikonD70/Charts/PDR.htm
那么这里有朋友会有疑问,既然均值叠加可以降噪,用来间接性提升器材的宽容度,那么宽容度落后的器材(例如中画幅CCD、佳能传感器、适马X3传感器等)就不能满足大光比拍摄需求吗?事实上不同的传感器都有不同的阴影噪音特性,例如5D3的传感器阴影噪点明显偏紫,做了堆栈之后虽然可以消除噪点,但是阴影的色彩依然会偏紫,会需要额外的色调分离步骤来修复偏色。另外根据来自几个不同网站的数据,5D3的暗部信噪比大约比D810或者A7R低2-3档(3-7倍),这意味着5D3需要拍摄大约16-64张图来堆栈,才能达到D810的单张RAW所能达到的暗部信噪比,而D810拍摄64张图所能得到的暗部信噪比,5D3需要拍摄大约1000-4000张图才能达到,这种数量级的快门数,对于实际拍摄来说显然是不现实的。
不过即将上市的1DX Mark II和80D据传采用的也是内置ADC的新架构,时隔九年之后佳能终于也赶上了索尼的脚步。还是很欣喜看到这一幕的出现,大家一起推动影像器材的进步,对于市场良性的形成要远远好于一家独大挤牙膏。
期待1DX Mark II和80D的新架构能够带来令人惊喜的表现。
附:逆光风光作品欣赏
燕儿-森林交响曲(D800E)

陈曦-砖红之城阿尔比(D800)

National Day fireworks by Senthil Kumar Damodaran (A7R)

Galactic Dance by Jay Daley(D810)

The Shadows and the Sun by Max Rive(D800E)

Light of the Earth by Banan Tarr(D800)

The Dictator by Max Rive(D800E)

个人推荐的部分2014年11月为止使用IMX094传感器的风光大师(排名不分先后):
燕儿(北美风光大师,图虫flickr元老,D800E):http://yaner.tuchong.com/
陈曦(华盖创意年度摄影师,原尼康D80用户,现D800):http://stanleychen.tuchong.com/
胡亦鸣(无忌第一风光摄影师云漫,原佳能5D2用户,现D810):http://yiminghu.tuchong.com/
詹姆斯(于震,南澳资深自由摄影师,原佳能1DX用户,现D810):https://www.flickr.com/photos/35649499@N03/
安一然(活跃在伦敦的国家地理供稿人,D800):http://rogimage.tuchong.com/
邓楠(Lofter上Saunato与Lofoto的摄影教程达人,D800E):http://alexandeng.lofter.com/
Antony Spencer(为飞思中画幅数码后背代言拍摄官方宣传样张,后灭门飞思换门到D800):https://500px.com/TonySpencer
Zack Schnepf(明度蒙版教程始祖之一,早期使用佳能5D、5D2,现使用索尼A7R):https://500px.com/ZackSchnepf
Max Rive(500px上的逆光达人,D800E):https://500px.com/maxrivefotograaf

暂无评论,快来添加评论哦