前言
在此解答一个可能会有人提出的疑问:
Q:为什么佳能11-24mm f/4L USM不参与本次测试?
A:实际上线性透视的超短焦镜头并没有想象得那么“一寸广一寸强”,它们的视角优势很多时候都仅仅来自于边缘拉伸,并且实战风光拍摄的时候15mm以下的焦距非常不好控制。再考虑到灯泡不便于上滤镜的问题,实用性并不高,故不选择这支特殊镜头参与本次测评。
实验室风光系统测试——佳能篇
相比索尼、尼康两家的风光系统选择,佳能这边要复杂一些。首先是镜头方面,和索尼一样排除灯泡前组的超级广角EF 11-24mm f/4L USM之后,也是有两支镜头分属“大三元”和“小三元”——EF 16-35mm f/2.8L III USM和EF 16-35mm f/4L IS USM。都是画质方面广受好评的新一代广角镜头,都是平面前组,适合风光拍摄。
但佳能方面还有一个更棘手的问题——机身。
众所周知对于风光拍摄,需求的两个画质参数是解析力和基准感光度下的宽容度。对于索尼和尼康来说这两个参数是统一的,自家宽容度最高的机身同时也是像素最高的机身,所以并不会存在什么选择困难。然而佳能不是,佳能家宽容度最高的机身是EOS 1DX Mark II——但是考虑到速度旗舰的定位,基本不可能拿它来拍风光。紧随其后的就是EOS 5D Mark IV,3000万像素看起来也还行了,凑合。
但问题是佳能有一件在135相机当中可以拿单项第一的机身——EOS 5DS R。虽然没有触屏,没有片上双像素,也没有内置ADC,但是高像素对于风光拍摄者的诱惑也是显而易见的。所以这次前导测评我们要解决的就是下面这三个问题了:
- EOS 5DS R的宽容度比EOS 5D Mark IV差多少
- 搭配这两支广角镜头时,EOS 5D Mark IV的解析力比EOS 5DS R差多少
- 佳能的两支广角镜头在小光圈下素质究竟有多少差异
就还是让测试来说话吧。
机身的宽容度
宽容度方面其实以前都做过测试,数据库里也能查询到相关的结论,在此给出结论和天梯图:

如果我们以4K(裁图之前约1000万像素)、30dB画质标准来评判,5D4大概可以做到5.9EV的暗部宽容度,算上高光的3EV一共8.9EV。5DSR稍微惨一点,但也差不太多,大概可以做到暗部5.1~5.2EV,总宽容度8.1~8.2EV,也就是说实际这两部机的宽容度差异只有0.7~0.8档。
是不是跟你印象里On-Chip ADC可以“大幅度”提高宽容度有点不太一样?唔,可能是之前2012年尼康D800的IMX094实在是太震撼了吧。然而那已经是第三代Exmor CMOS了啊~
就跑分的天梯图来看也是类似的结果:

不到一倍(一档)的宽容度差距,差不多就是0.8~0.9EV。
再来看看DPREVIEW的实拍图:

缩图到同样大小的前提下,5DSR+4EV的画质确实也要比5D4+5EV要好一点点。
之前在评测里说5D4相比前任大幅度提高了宽容度,那个前任指的是5D3。然而相对于5DSR并没有想象中那么大的优势,一个是老架构传感器小改改榨干最后一点潜力,还有个原因是高像素本身就可以降低底噪:
以下内容供学有余力的读者阅读
同样画幅下提高像素(或者说提高像素密度)本身就是一种刷动态以及宽容度的可行方式。
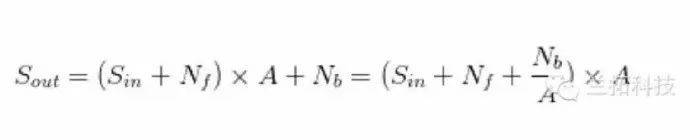
至于原理,我们先来复习一下简化图传模型的噪声计算:
A是放大器的总增益,在不同像素密度、相同ISO下这个值并不相等。假设同画幅传感器A的像素数是B的一半,则Aa=1/2Ab。
然后,输入的Sin(基本认为等同散粒噪声)在求取动态范围时可以直接取0找零点,Nf对于同架构传感器来说基本可以算恒常值,所以两块传感器的噪声应该是
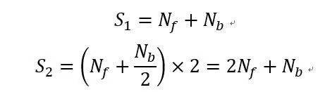
然而别忘了第二块传感器的像素比第一块高一倍,我们把第二块传感器的输出缩图到与1等大(如图3)
而我们知道在极暗部或者干脆零输入的前提下前端噪声相对于后端/传输的噪声基本上是可以忽略的,像素提高一倍对于前端噪声增益的sqrt(2)倍几乎不影响画质,但是对于后端噪声缩减的1/sqrt(2)在目前的传感器架构下会对画质有一个显著的提升。
所以宽容度的对比上,我认为结论是,5D4相比5DSR确实会好一些,但是好得有限,并不能做到当年D800和5D3那种架构代差所产生的效果。
系统的分辨率
在测试两支镜头搭配两台机身的分辨率之前,先来看一下这两套系统两支镜头的体积对比:

5DSR和5D4的机身几乎是一样大,但是镜头大小还是有明显差别。相比EF 16-35mm f/4L IS USM,EF 16-35mm f/2.8L III明显要大一圈。两支镜头都是平面前组,伪内变焦设计。
这一次的数据量比较多,两部机身两个镜头相对于4支镜头的传统测试,所以我们只呈现16、24、35mm三个焦距,也避免过多的数据让大家看花眼。真正选出那个优胜者参与CNS对决的时候,会给出完整的跑分数据。
16mm焦距




24mm焦距




35mm焦距




结论有以下那么几个:
1、5DSR相比5D4的分辨率优势非常的大,尤其是广角镜头的中心位置,极限画质2000LW/PH和3000LW/PH几乎就是A7R2上Otus 55 1.4和佳能小痰盂都设为f/2.8时的分辨率差距。而且这种差距不只来源于像素数——如果只是单纯3000和5000万的像素数差距,5D4的分辨率成绩应该在2400LW/PH左右才对。低通滤镜的存在也是一个相当重要的因素,有意思的是,3000万像素以上的135画幅机型当中,在产的只有佳能5D4和5DS还带着低通,使得实际3000万像素根据搭配的镜头不同只能相当于友商2200~2600万像素不等的分辨率。不知道为什么佳能对于这个东西这么有执念。
2、小光圈下EF 16-35mm f/4L IS USM和EF 16-35mm f/2.8L III的分辨率差距有点微妙,最佳光圈、广角边角这两个参数,EF 16-35mm f/2.8L III还是有一定程度的领先,而且在5DSR机身上领先幅度更大,5D4上倒是看不太出来。不过好在绝对差距也不算多,并没有档次级别的差异,考虑到EF 16-35mm f/4L IS USM的价格和便携性,用于拍摄风光还是比较合适的。
3、这两支镜头都是(焦距)两头强中间弱,设计思路比较类似。
色散
分为倍率色差(焦内色散)和轴向色差(焦外色散)两部分。计量各焦段下全画面色散的最大值,为其在像方焦平面(传感器平面)上的实际宽度。由于这两支镜头焦距过短,很难拍到准确的轴向色散图,故略去此测试。

定位较低的EF 16-35mm f/4L IS USM的色散表现反而会更好一些,这个倒是有点意外。不过这两支镜头的色散都处于良好水准,一般来说不到15μm的话就不太容易在长曝时产生难以消除的花痕问题。
总结
佳能方面的纠结可以说是有两个,镜头和机身。我们来分别总结一下它们的优势:
佳能EOS 5D Mark IV的优势:
1、能够提供高0.8档左右的宽容度,大光比环境下的堆栈张数可以减少一半。
2、连拍速度更快,堆栈时帧间间隔更低,断线可能性更低
3、DPRAW存在万一以后能有用的可能性(虽然不大)
佳能EOS 5DS R的优势
1、像素高
2、像素高
3、像素高而且没有低通
佳能EF 16-35mm f/2.8L III的优势:
1、光圈大可以兼顾一部分星空
2、35端全开犀利,可以兼顾人像拍摄
3、边缘画质和极限画质略有优势
佳能EF 16-35mm f/4L IS的优势:
1、便宜,价格仅相当于EF 16-35mm f/2.8L III的一半不到
2、单纯拍风光的话f/2.8光圈属于规格溢出
3、77mm的滤镜相对82mm的更加廉价、便携且不容易损坏
4、色散更低
就我个人的选择来说我更倾向于EOS 5DS R+EF 16-35mm f/4L IS USM的组合,高像素的好处还是显而易见的。而且这算是佳能在风光摄影里唯二的两个优势之一了(另外一个是有17移轴,但是本次测评它并不参加)。玩一个系统,就要玩一玩用一用这个系统单项第一的东西,不是么?



暂无评论,快来添加评论哦