近期和一些朋友私信聊天时被询问到佳能传感器工艺和动态表现的关联问题,有必要将老文重发。
自从佳能传感器动态范围差这个“秘密”被很多人知道之后,一篇文章也随着慢慢的浮出了水面——现在网上搜索“佳能工艺之殇”就能够很容易的找到这篇文字:

这篇文最早的出处已不可考,其几点核心观点如下:
1、佳能传感器采用500nm工艺制造,而索尼/三星/COMSIS已经进步到180nm甚至110nm;
2、佳能传感器暗部噪声大的原因是微透镜加工时精度不够;
3、佳能高感性能可以逼平或者超越索尼的原因是处理器降噪。
初看这篇文章确实有点唬人的感觉,而且跟很多玩过CPU/显卡的同学,都能在一次一次的工艺换代当中感受到性能的巨大提升,这也符合大家的直觉。
但把CPU/显卡的例子直接拿过来类比图像传感器,其实是不太妥当的。
CPU/GPU的本质是功能复杂的高频数字电路,改进的工艺能够有效减小晶体管面积和功耗(寄生电容),从而能够达到更高的工作频率。而对于数字电路来说,时钟就是生命。同样架构,同样核心数缓存容量的两块CPU,基本是每提升1%频率就能提升1%理论性能的节奏。
而图像传感器呢?
以图像传感器OV0517为例,其时钟周期是50纳秒,换算成工作频率,就是20MHz。
跟现在随便飙上1GHz的GPU核心和随便飙上4GHz的CPU核心相比,实在是微不足道。
至于微透镜就更扯了。但凡对图像传感器工艺有所了解的人或许都知道,折射式微透镜的制作工艺主要是气相沉积技术,和半导体工艺毛线关系都没有。
光刻法确实也能生产微透镜,不过呢:

参考文献:李学民,《微光学元件及制作工艺研究》
反正打死我我也不信佳能会放着工业级别的CVD或者PVD技术不用,去用这种费力不讨好的光刻法去生产微透镜。
对于原文观点1、2的反驳说明到此结束。至于观点三,一会再讲。
虽然大家说佳能传感器的动态范围低,但也并不是全范围都低的。据dxomark和兰拓科技的测试,结果大概是这样的:

D810的动态范围确实在低感下大幅度甩离佳能1DX,但奇怪的是随着ISO的提升,优势迅速缩小,直到ISO超过800之后1DX完成反杀,领先幅度在1EV左右。
如果工艺论成立的话,这个现象相当的令人不好理解。如果把原因归结于处理器降噪,那么为什么低感动态范围那么差呢?
曾经老夫也是对这个问题百思不得其解,直到前几日重读图像传感器技术,才恍然大悟。人丑就要多读书果然是没错的。
好,下面进入正式的解析。
根据动态范围的定义,Dynamic Range=满阱容量/本底噪声,而现今各传感器满阱容量差别并不大,所以问题就集中在了本底噪声上。本底噪声越低的传感器,便能够具有更高的动态范围。那么本底噪声是由什么决定的呢?严格分析起来,图像传感器的噪声,其实包括三部分:
一、非均匀响应 Pixel Non-Uniformity Response 即CMOS制造过程中的物理误差,导致各个像素存在不一样的零输入响应。这个因素决定的是理想传感器的信噪比上限。 PNUR在CMOS总噪声中的含量一般小于1%,可以忽略不计。
二、散粒噪声 Shot Noise 是CMOS器件最主要的噪声,主要是由光的量子特性产生的——无论CMOS工艺再精进,也无法避免这一块噪声。
懂一点量子力学的同学可能都知道薛定谔方程的解|ψ|对应的是一种概率波,也就是说,你知道时间t内大概会接收到1000个光子,但你无法确定一定会接收到1000个,可能是998,也可能1002。自然界的本性如此。
海森堡不确定性原理(△x△p≥h/2π)的存在,更加加深了这种情况。因为你测准了光子落入哪个像素(位置x),光子的能量(也即动量p)就开始变得不确定。上帝不让你看清,你还真是没辙。什么大法也没用。
从统计物理上讲,散粒噪声的强度是信号强度的平方根,信号越大则噪声越大,但是信噪比也在提高,对成像而言噪声的绝对强度并不重要,重要的是信噪比。
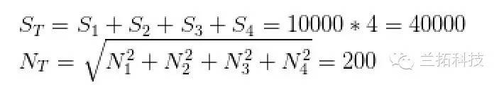
值得强调的是,对散粒噪声而言,重要的是整块CMOS接收到的光量,而不是单个像素接收到的光量。因为高像素机型通过缩图,理论上可以获得和低像素机型完全一致的信噪比。一个简单的例子:假设相机A只有一个像素,其信号S=40000,N=200,其单个像素信噪比为SNR=200=46dB。假设相机B有四个像素,则在相同的条件下其信号S=40000/4=10000,N=100,其单个像素信噪比为SNR=100=40dB。现在我们对相机B的四个像素缩图到一个像素:

SNR=ST/NT=200,两者完全一致。
所以别迷信A7s好么亲。
当然这里也存在一个问题,就是像素的受光率不是100%,像素和像素之间会有被浪费的面积。但随着现在无缝微棱透镜技术的铺开普及,这个问题实际上已经没那么重要了。
最后,对于散粒噪声,我们不加证明的给出以下结论:
散粒噪声的表现和相机的原始分辨率无关,只和出图的分辨率有关。出图分辨率每上升一倍,信噪比损失3dB。(所以这个宇宙中就不可能存在又极高信噪比又极高分辨率的相机,不是钱的问题,也不是地球科技的问题。)
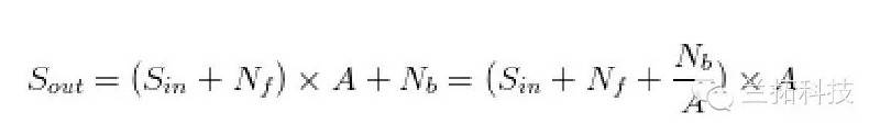
三、读取噪声 Read Noise 电路噪声中除了第一条的PNUR(SN主要是光的内禀特性),剩下的基本就是读取噪声,或者叫读出噪声了。 一般传感器的成像流程是传感器捕捉到光子——转化为电信号——放大(提高ISO)——数模转换(ADC)——后端数据处理。在这里我们假设放大器的放大倍数(增益比)为A,以放大器为界把系统分开,前端的所有噪声设为Nf,后端的所有噪声设为Nb,那么整个系统满足以下关系:

于是到了这里,我们得到了一个十分诡,但又确实符合模拟电路原理的结论:
ISO越高(增益A越大)的情况下,后端噪声Nb对于SNR的影响越小。
所以其实佳能的病根儿就在这里了:
ADC(模数转换器)没有内置在片上,需要经过一段距离的传输,导致后端混入噪声,影响信噪比。
而ISO提高的时候,根据上面的公式后端读取噪声由于放大器倍数的提高而迅速被压制,只剩下了前端读取噪声+散粒噪声(放大器之前的部分)。而传感器的前端,其实佳能做的比索尼还优秀一点。1DX的单像素高感信噪比便是一个明晃晃的例证。 分界点在哪里呢?大概就是(前端+散粒):后端噪声是1:1的时候。换算过来正好,对应的就是ISO 800。
四、总噪声分析
吐槽结束,我们继续分析。
首先我们来回顾一下三种传感器噪声的特性:
PNUR:和亮度成正比——信噪比恒定 散粒噪声:和亮度的平方根成正比——信号每提高十倍,信噪比提高10dB 读取噪声:和亮度无关——信号每提高十倍,信噪比提高20dB
也就是说,我们通过观察某传感器的信噪比曲线,可以得出该相机的传感器主要被哪种噪声所影响。

这个是索尼A7s的亮度/SNR对数幅值响应曲线,decade的意思是每十倍。虚线是固定斜率的直线,用来方便说明(图片转自知乎)。
这条曲线拿来说明传感器性能的话,其实再合适不过了。(1)在暗部读取噪声大于PNUR和散粒噪声,曲线以接近20dB/decade的速度增长(2)随着ISO或者亮度提高,散粒噪声成为主要噪声源,曲线斜率过渡到10dB/decade(3)信噪比再高也高不过PNUR给设置的坎。
索尼A7s的ISO25600下曲线几乎和10dB/decade直线完全重合,说明读取噪声被压制的非常好,光内禀特性造成的散粒噪声几乎决定了A7s的信噪比,这一个特性说起来——
让人欢喜:索尼大法确实好。 让人忧:或许人类所制造的相机其灵敏度已经接近上帝给我们划的极限了。
我们换一台小画幅相机,依然是索尼传感器,佳能的G7X:

图片截取自DxOMark SNR Logarithmic。可以看到对于小画幅高密度传感器来说,高感下的噪声依然有很多取决于读出噪声。

渣动态的代表佳能EOS 5D MarkIII,可以看到受读出噪声影响严重的Sensor表现情况。只有亮度达到大概5%以后,才不会显著受读出噪声的影响。 但一旦暗部掉落到5%以下,读出噪声就会越来越显著,人家索尼传感器,亮度降低到以前的1/10,信噪比只削减10dB(3.3EV) 而佳能传感器亮度降低到以前1/10的话,信噪比衰减理论值是20dB(6.6EVs),能打得过才见鬼了。
以及一个二级结论:在高ISO时,散粒噪声是影响成像质量的最主要的噪声源,CMOS本身的控噪水平对结果并没有太大影响。所以A7s的单像素高感水平,很遗憾的来讲,有可能已经是这个宇宙能达到的极限,已经再难提升了。不过我们可以在保持这种极低读出噪声的前提下尽可能的提升像素,来保证更好的图片观感。
三级结论:全幅CMOS高感好的物理实质就是在相同的拍摄参数下其通光量更大。
——————————————————————————————
到这里就讲完了,依然是一个CMOS设计思路的问题。不过我跟比利时COMSIS公司的一个华裔员工交流时他告诉我,佳能不内置片上式ADC依然是因为工艺限制,塞不进去……TMD谁知道呢。ADC电路又不复杂,500纳米完全也能做。
顺便某贴吧里被吹上天的神机尼康D3X当时的画质卖点就是外置ADC。
瞎扯结束。
—————————————————————————————
暂无评论,快来添加评论哦