• 评论

  • 分享

  • 收藏

【反老法师通俗演义】图像质量评价标准基础科普(4)

刘庆

2018-12-28 15:58浏览 0



本文版权所有,禁止任何形式的商业转载使用或抄袭。谢绝任何XXX和微博转载,违者必究。

 

第六章 高感的秘密

前几期推送给大家讲的,无非是一张图片“清晰”与否这件事具体应该如何评价。但实际上,决定画质的不止是“清晰”,还有一条也很重要,那就是画面是否“干净”。

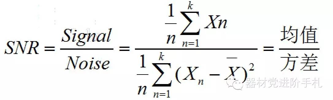
看过我们很久以前推送的同学可能还记得,在传感器科技上有一个非常重要的指标叫做信噪比(Signal to Noise Ratio,SNR)。顾名思义就是有效信号强度与噪声强度之比,可以用来反映传感器采样的信号当中有多少噪声,著名国外评(suo)测(fen)网站DxOMark对于传感器Low-Light ISO(低照明高感光度)性能的标定,也是基于信噪比这个参数。

不过,从信噪比的定义出发去测试图像传感器的信噪比,是一件十分困难的事情。毕竟你不可能把传感器拆出来,用仪器测试它输出的信号电压和噪声电压——而根据传统的信噪比定义,你必须测出这两个数值,才能知道传感器在该条件下的信噪比:

所以我们只好一计不行再出一计,和测试SFR类似,输入特定的图像,来对图像信噪比进行测量——用这种方法测试出来的结果叫做输出信噪比,是标定图像传感器高感光度表现和动态范围特性的一个重要指标。

在SFR测试当中我们选择了方波,那么测试信噪比,我们选择什么样的方式比较好呢?

答案其实很简单——一张灰卡就可以。

拍摄灰卡相当于对系统输入一个恒值信号f(x,y)=L0,可以方便的对系统进行信噪比测定。

输出信号强度S其实很容易标定——拍摄灰卡之后对输出的图片取一个区域,其中有k个像素X1~Xk的平均亮度就是输出信号的强度,也即:

(由于噪声的出现完全随机,根据大数定律,当像素足够多的时候序列Xn是会收敛到理想信号强度L0的。而现在动辄几千万的实际像素数量,已经能够很好的保证收敛特性。)

稍微麻烦一点的是N(Noise),也就是噪声强度。

不过也不难。噪声,顾名思义,就是实际输出信号相比理想输出信号偏差的数值。这样定义的话,每一个像素的噪声强度就是:

由于理想输出情况下像素的亮度X其实我们并不知道,于是我们用样本均值对其进行估计,也即:

由于噪声的影响,实际拍摄图片中某像素的亮度可能会增高,也可能会降低。为了反映实际偏差的绝对值,我们以N0^2代替N0,进行噪声强度的标定:

最后对所有像素的噪声数值取均值,来反映实际拍摄图片中噪声的强度:

符号用得有些乱,不要在意这些细节。。。

学过概率统计的同学到这里应该就看出来了,最后的N值其实是方差的计算公式——也就是说,我们可以用拍摄灰卡之后,所有像素亮度值的方差来标定系统的噪声水平。

到这里,输出信噪比的定义也就一目了然了:

由于信噪比的绝对数值比较大,所以一般采用常用对数来进行计数,得到的SNR数值单位为分贝(dB)。

那么这个输出信噪比的定义,究竟能告诉我们什么,不能告诉我们什么呢?

能告诉我们的:

1、根据上述定义,同样的图片总亮度(均值)下,图片各像素亮度方差越小,则图片信噪比越高,看起来越干净——这符合我们对画质概念的一般认知。

2、实测信噪比时,可以通过单张灰阶卡不同区域取样计算来获得不同亮度区块的输出信噪比——是的,按这个方法,测试出来的结果叫做动态范围,是现今反映传感器风光摄影画质的最重要指标。

【此处有大量暴力高速膜V表情】

通过采用区块自发光的测试卡,我们实验室可以测试的动态范围量程达到0-120dB(约20EVs),足够满足目前所有相机的测试需求。

不能告诉我们的:

1、高噪声条件下图片的实际观感。就像我们在第一篇推送当中提到的,人眼其实是一个频域敏感的器官。而信噪比是一个时域参数——所以要最终定论相机的高感和暗部画质,还需要对噪声的频谱和功率谱进行测定。好在Imatest也已经实现了这方面的功能。

2、这个结论是对灰度图像进行分析得到的,而实际相机在极暗部以及高感光度条件下,会经常出现偏色的情况——有时候甚至是毁灭性的。所以色彩漂移特性也是我们需要重点关注的测试项目之一。

3、图像噪声这种东西,本质上来说是一种误差,同样也分为偶然误差和系统误差两种。偶然误差其出现完全随机,可以通过多张同构图同参数图片平均值叠加而消除掉【此处有大量暴力高速膜V表情】,而系统误差不能——所以其实佳能传感器最大的问题不是暗部信噪比差,而是暗部的彩色条纹,无法通过任何方式来得以有效消除。

(未完待续)

 

评论

暂无评论,快来添加评论哦